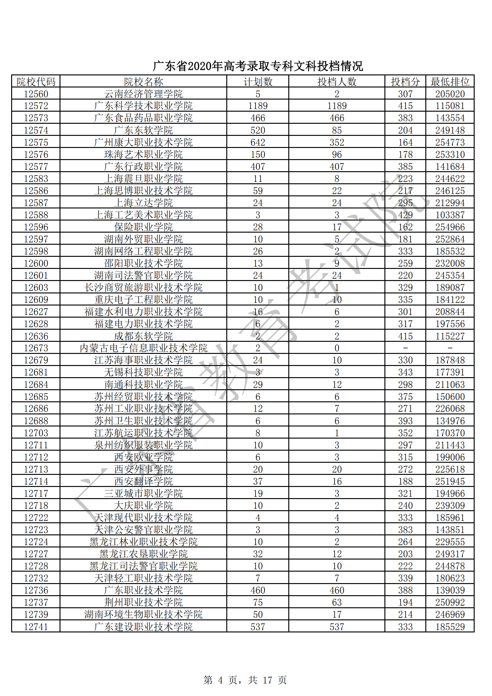
9月1日,我省对专科批次普通文理类院校开始投档,共投出考生137147人,其中文科类投出52599人,理科类投出84548人。从投档情况看,主要呈现以下四个特点:
一是院校生源质量和考生志愿满足率进一步提升。从投档情况看,考生志愿总体上更趋均衡,大多数院校生源充足,第一次投档即满档,而且多数考生都能投到志愿意向的高校。一次投档即满档的院校有860所,比去年增加39所,其中,文科类有288所,理科类有572所,特别是理科类院校今年生源情况较好,一次性满档院校比去年大幅增加。
二是公办专科院校生源依旧“火爆”。公办专科院校生源情况良好,特别是国家示范性高职院校及省示范校等高职院校基本上一次性满档,投档线都比较高,个别学校投档线甚至超过本科录取最低分数线。如广州番禺职业技术学院文、理科投档线分别为433分、424分,南京工业职业技术大学文、理科投档线分别为433分、427分,均超过本科录取最低分数线。
三是民办专科院校生源仍冷热不均。民办院校生源仍存在不平衡的问题,特别是个别地处相对边远和欠发达地区的民办高校生源仍不太理想,未满档或缺额较大的院校基本为民办院校。从投档情况看,文理科分别有7所、6所院校缺额较大,缺档数均超过1000个计划以上。但省内部分办学有特色的民办院校依然受到考生欢迎,一次性投档即满档,且投档线也大大高于最低分数线。如广州城建职业学院文、理科投档线分别为312分、346分,且文、理科均一次性满档。
四是本科院校的专科专业和本专科院校三二分段联合培养招生受到考生“热捧”。一些综合实力较好的本科院校的专科专业,以及一些基础较好的专科院校与本科院校开展的三二分段联合培养招生生源情况较好,一些院校的投档线甚至远超本科录取最低分数线。如深圳职业技术学院(与华南师范大学三二分段培养)文、理科投档线分别为489分、462分;中国民航大学文、理科投档线分别为475分、448分,均超过本科录取最低分数线。
按照今年专科批次投档录取办法,将分两次进行投档。第一次已于今天上午投普通高中学考成绩至少有一门达到C级及以上等级的考生,待第一次录取结束后,将进行第二次投档,投第一次未被录取的考生与普通高中学考成绩3个D以上考生。根据招生录取日程安排,专科院校普通文理类投档录取工作将于9月3日结束,随后将对尚有缺额院校进行征集志愿录取,投档后仍未被录取的考生或在分数线上没有填报专科志愿的考生,均可以参加专科批次的志愿征集。
广东省教育考试院
2020年9月1日
文科
















理科


















转自:广东省教育考试院