新闻公告
Channel Title
广东省2020年体育类、艺术类本科统考投档情况
来源: 作者: 发布时间: 2020年08月15日

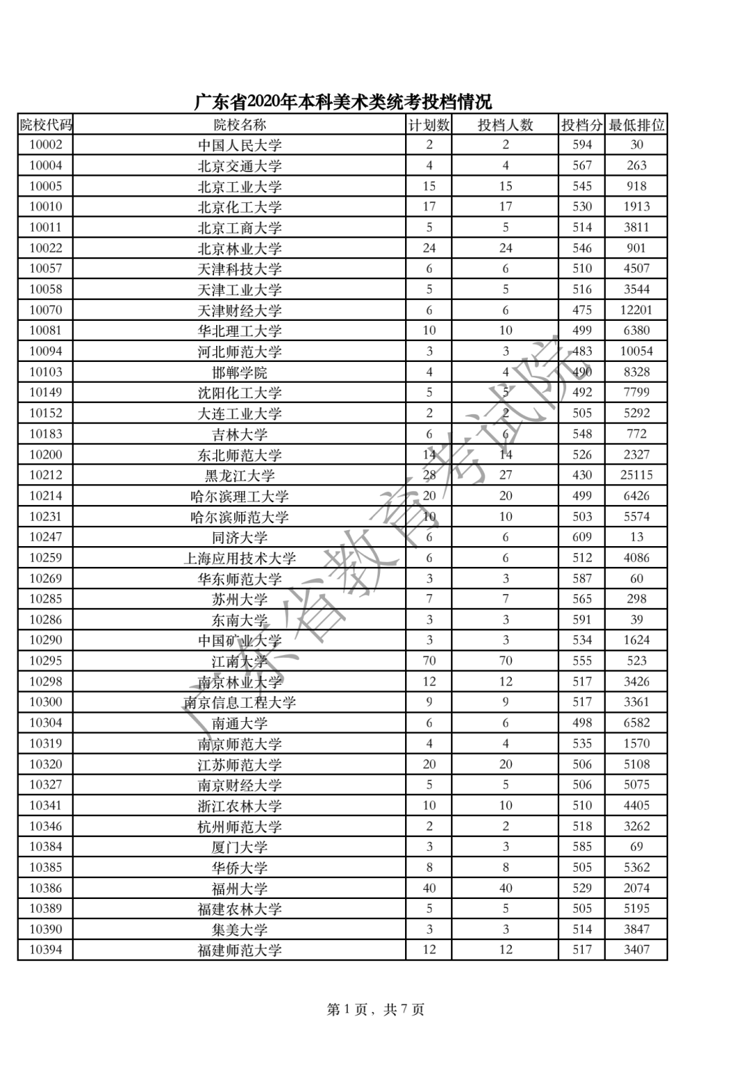
广东省2020年本科美术类统考投档情况

广东省2020年本科美术类统考投档情况1.png广东省2020年本科美术类统考投档情况2.png广东省2020年本科美术类统考投档情况3.png


广东省2020年本科美术类统考情况4.png

广东省2020年本科美术类统考投档情况5.png广东省2020年本科美术类统考投档情况6.png广东省2020年本科美术类统考投档情况7.png


广东省2020年本科音乐类统考投档情况

广东省2020年本科音乐类统考投档情况.png广东省2020年本科音乐类统考投档情况2.png广东省2020年本科音乐类统考投档情况3.png

广东省2020年本科体育类投档情况

广东省2020年本科体育类投档情况.png广东省2020年本科体育类投档情况2.png

广东省2020年本科体育类投档情况3.png

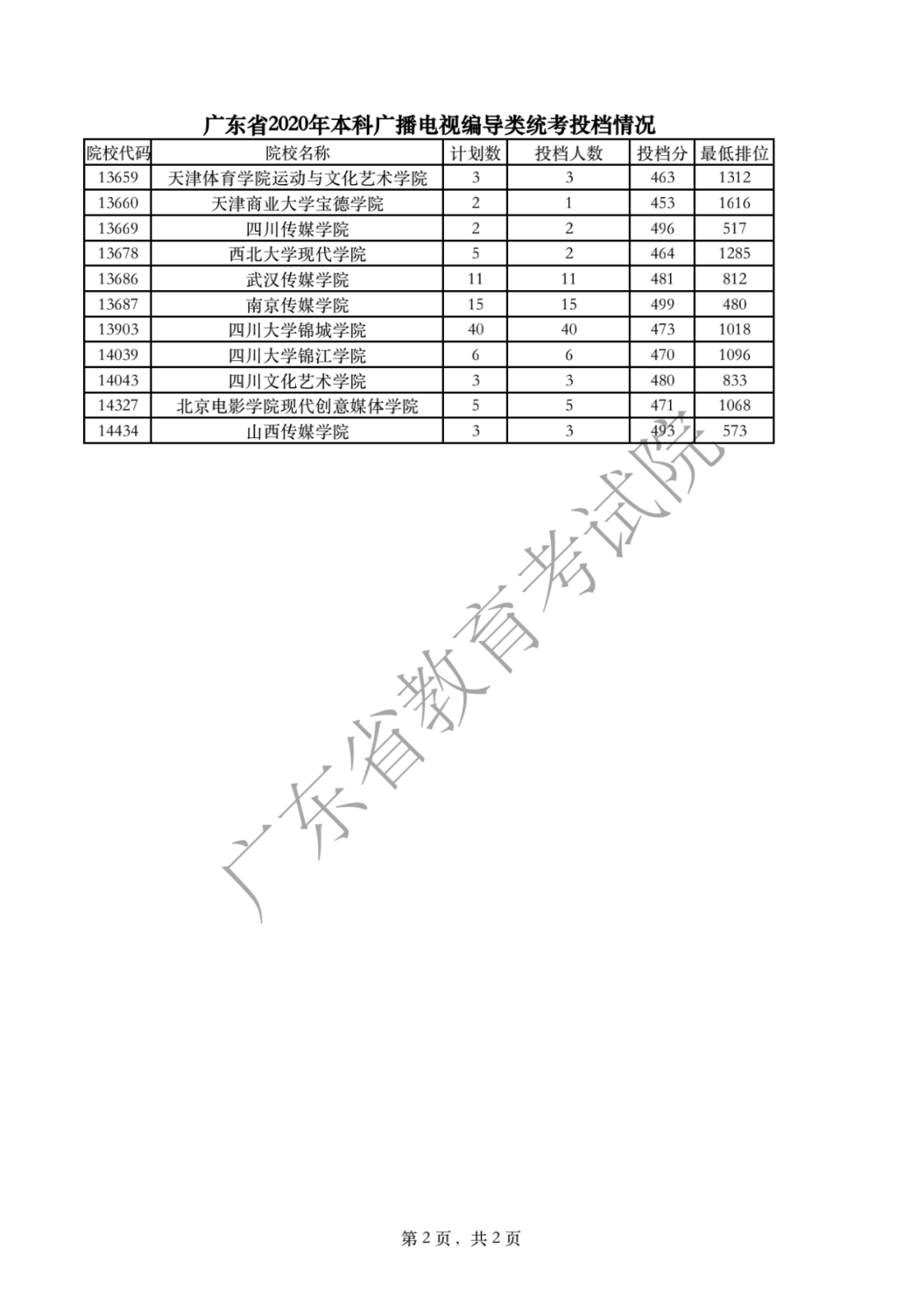
广东省2020年本科广播电视编导类统考投档情况

广东省2020年本科广播电视编导类统考投档情况1.png广东省2020年本科广播电视编导类统考投档情况2.png





广东省2020年本科舞蹈类统考投档情况

广东省2020年本科舞蹈类统考投档情况.png广东省2020年本科舞蹈类统考投档情况2.png

转自:广东省教育考试院